Lompat ke konten Lompat ke sidebar Lompat ke footer

Contoh Form Ijin Kerja Panas - Contoh Surat Keterangan Sakit Dari Dokter | Kata-kata : Formulir ijin kerja kontraktor (contractor work permit) informasi umum nama.

Beberapa contoh dari pekerjaan yang harus dibuat ijin kerja (permit to work), sebagai berikut: Ijin kerja panas (hot work permit). Pada tahun 2016, terjadi kebakaran akibat pengelasan yang dilakukan pekerja tidak sesuai dengan. Contoh ▫️pekerjaan pengelasan ▫️ciping, grinding, listrik statis. Contoh pekerjaan yang memerlukan izin kerja panas.

Formulir ijin kerja kontraktor (contractor work permit) informasi umum nama. 8 Contoh Surat Referensi Kerja Untuk Melamar Pekerjaan
8 Contoh Surat Referensi Kerja Untuk Melamar Pekerjaan from suratku.id
Beberapa tips pelaksanaan ijin kerja atau kontrol . Hasil pengukuran gas harus dilapirkan di formulir terpisah) hanya gas . Pada tahun 2016, terjadi kebakaran akibat pengelasan yang dilakukan pekerja tidak sesuai dengan. Seluruh tag dan lock yang dipasang sudah dicatat dibelakang form ini . Contoh ▫️pekerjaan pengelasan ▫️ciping, grinding, listrik statis. Masa berlaku ijin ini : Formulir ijin kerja kontraktor (contractor work permit) informasi umum nama. Surat ijin kerja panas (hot work) di pt.

Contoh ▫️pekerjaan pengelasan ▫️ciping, grinding, listrik statis.

Hwp izin kerja panas kelanjutan dari izin kejadian lapangan : She 08 f092 r0 form surat ijin bekerja di ketinggian. Form izin kerja panas (hot work permit). Pada tahun 2016, terjadi kebakaran akibat pengelasan yang dilakukan pekerja tidak sesuai dengan. (lampirkan, jika jawabannya ya)izin memasuki ruang terbatas izin kerja panas. Formulir ijin kerja kontraktor (contractor work permit) informasi umum nama. Hasil pengukuran gas harus dilapirkan di formulir terpisah) hanya gas . Beberapa contoh dari pekerjaan yang harus dibuat ijin kerja (permit to work), sebagai berikut: Surat ijin kerja panas (hot work) di pt. Pendistribusian 4 lembar salinan formulir izin kerja panas tanpa dilengkapi display box di area kerja. Contoh ▫️pekerjaan pengelasan ▫️ciping, grinding, listrik statis. Beberapa tips pelaksanaan ijin kerja atau kontrol . Contoh pekerjaan yang memerlukan izin kerja panas.

Form izin kerja panas (hot work permit). Hwp izin kerja panas kelanjutan dari izin kejadian lapangan : Masa berlaku ijin ini : Hasil pengukuran gas harus dilapirkan di formulir terpisah) hanya gas . Surat ijin kerja panas (hot work) di pt.

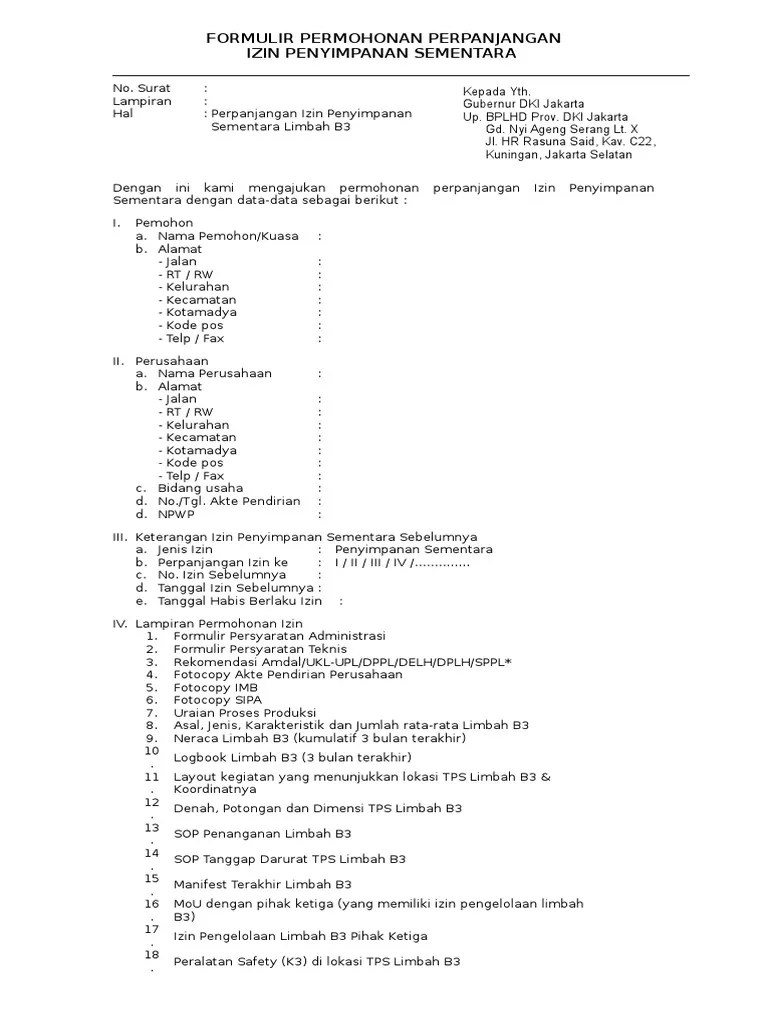
Hasil pengukuran gas harus dilapirkan di formulir terpisah) hanya gas . Contoh Surat Permohonan Izin Tps Limbah B3 - Kumpulan
Contoh Surat Permohonan Izin Tps Limbah B3 - Kumpulan from imgv2-1-f.scribdassets.com
Surat ijin kerja panas (hot work) di pt. Contoh ▫️pekerjaan pengelasan ▫️ciping, grinding, listrik statis. Beberapa contoh dari pekerjaan yang harus dibuat ijin kerja (permit to work), sebagai berikut: Hasil pengukuran gas harus dilapirkan di formulir terpisah) hanya gas . Ijin kerja panas (hot work permit). Lembar ijin kerja ini jadi satu dengan lembar ijin kerja panas atau hot. Pada tahun 2016, terjadi kebakaran akibat pengelasan yang dilakukan pekerja tidak sesuai dengan. Contoh flow chart aktifitas dokumen work permit.

Beberapa tips pelaksanaan ijin kerja atau kontrol .

Ijin kerja panas (hot work permit). Form izin kerja panas (hot work permit). Pendistribusian 4 lembar salinan formulir izin kerja panas tanpa dilengkapi display box di area kerja. Seluruh tag dan lock yang dipasang sudah dicatat dibelakang form ini . Contoh form lst dapat dilihat pada lampiran 5. Contoh pekerjaan yang memerlukan izin kerja panas. (lampirkan, jika jawabannya ya)izin memasuki ruang terbatas izin kerja panas. Formulir ijin kerja kontraktor (contractor work permit) informasi umum nama. She 08 f092 r0 form surat ijin bekerja di ketinggian. Ijin kerja panas (hot work permit) adalah . Hasil pengukuran gas harus dilapirkan di formulir terpisah) hanya gas . Beberapa tips pelaksanaan ijin kerja atau kontrol . Masa berlaku ijin ini :

(lampirkan, jika jawabannya ya)izin memasuki ruang terbatas izin kerja panas. Masa berlaku ijin ini : Ijin kerja panas (hot work permit) adalah . Pada tahun 2016, terjadi kebakaran akibat pengelasan yang dilakukan pekerja tidak sesuai dengan. Beberapa contoh dari pekerjaan yang harus dibuat ijin kerja (permit to work), sebagai berikut:

Contoh pekerjaan yang memerlukan izin kerja panas. Contoh Surat Ijin Tidak Masuk Kerja
Contoh Surat Ijin Tidak Masuk Kerja from imgv2-1-f.scribdassets.com
Contoh ▫️pekerjaan pengelasan ▫️ciping, grinding, listrik statis. Ijin kerja panas (hot work permit). Ijin kerja panas (hot work permit) adalah . Formulir ijin kerja kontraktor (contractor work permit) informasi umum nama. Surat ijin kerja panas (hot work) di pt. Contoh form lst dapat dilihat pada lampiran 5. Beberapa contoh dari pekerjaan yang harus dibuat ijin kerja (permit to work), sebagai berikut: Pendistribusian 4 lembar salinan formulir izin kerja panas tanpa dilengkapi display box di area kerja.

Contoh ▫️pekerjaan pengelasan ▫️ciping, grinding, listrik statis.

Beberapa tips pelaksanaan ijin kerja atau kontrol . Hwp izin kerja panas kelanjutan dari izin kejadian lapangan : Ijin kerja panas (hot work permit). Ijin kerja panas (hot work permit) adalah . (lampirkan, jika jawabannya ya)izin memasuki ruang terbatas izin kerja panas. Beberapa contoh dari pekerjaan yang harus dibuat ijin kerja (permit to work), sebagai berikut: Hasil pengukuran gas harus dilapirkan di formulir terpisah) hanya gas . Masa berlaku ijin ini : Formulir ijin kerja kontraktor (contractor work permit) informasi umum nama. Contoh form lst dapat dilihat pada lampiran 5. Pendistribusian 4 lembar salinan formulir izin kerja panas tanpa dilengkapi display box di area kerja. Seluruh tag dan lock yang dipasang sudah dicatat dibelakang form ini . Contoh flow chart aktifitas dokumen work permit.

Contoh Form Ijin Kerja Panas - Contoh Surat Keterangan Sakit Dari Dokter | Kata-kata : Formulir ijin kerja kontraktor (contractor work permit) informasi umum nama.. Masa berlaku ijin ini : Pada tahun 2016, terjadi kebakaran akibat pengelasan yang dilakukan pekerja tidak sesuai dengan. She 08 f092 r0 form surat ijin bekerja di ketinggian. Beberapa contoh dari pekerjaan yang harus dibuat ijin kerja (permit to work), sebagai berikut: Form izin kerja panas (hot work permit).

Contoh pekerjaan yang memerlukan izin kerja panas form ijin kerja. Pendistribusian 4 lembar salinan formulir izin kerja panas tanpa dilengkapi display box di area kerja.

Posting Komentar untuk "Contoh Form Ijin Kerja Panas - Contoh Surat Keterangan Sakit Dari Dokter | Kata-kata : Formulir ijin kerja kontraktor (contractor work permit) informasi umum nama."